다행히 예전과는 달리 요즘은 효과적인 항구토제가 많이 개발이 되어 있어서 항암 당일 구토를 하는 경우는 많지 않습니다.
그러나 항암 후 2-3일이 지나서 나타나는 오심, 즉 울렁거리고 토할 것 같은 느낌은 아직 상당수의 환자 분들이 겪고 있어요. 한번 이런 부작용을 겪으면 다음에도 또 이럴까봐 걱정이 되시지요. 종종 이런 걱정 때문에 병원에 들어서기만 해도 토할 것 같은 느낌이 들기도 합니다.
오심과 구토는 시간이 갈수록 더 많이 나타나는 부작용은 아닙니다.
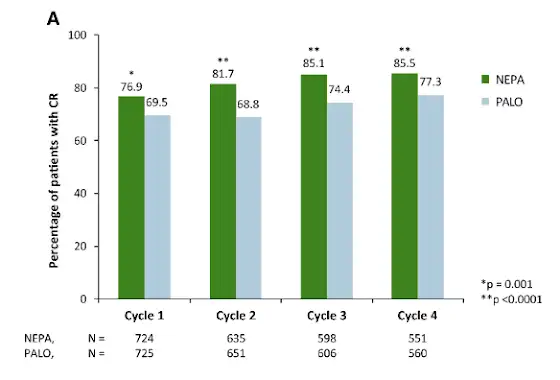
아래 그림은 아킨지오 (NEPA)라는 항구토제와 알록시 (PALO)라는 항구토제를 비교한 임상시험 결과인데요. (출처: Cancer Med. 2019; 8: 2064– 2073. doi.org/10.1002/cam4.2091)
막대그래프 숫자는 항암 후 1-5일째 울렁거림이 없었던 환자의 비율을 의미한답니다. 점점 심해지는 부작용이라면 이 숫자가 항암을 여러 번 할수록 (오른쪽으로 갈수록) 줄어들겠죠.
하지만 그렇지는 않은 것을 볼 수 있습니다.
항구토제의 효과가 시간이 가도 유지가 된다는 것을 알 수 있지요. 항암제로 인한 오심, 구토는 약제의 특성에 따라 많이 달라집니다.
✔ 구토가 심한 약 (시스플라틴, 독소루비신+카보플라틴),
✔ 중간정도인 약 (옥살리플라틴, 이리노테칸 등),
✔ 구토가 심하지 않은 약 (5-FU, 파클리탁셀 등)으로 나눠지며,
대부분의 면역항암제나 표적항암제는 구토가 심하지 않은 약으로 분류됩니다. 그러나 오심 구토의 정도는 개인차가 많고, 한번 겪으면 심리적인 불안이 해지면서 더 심해지는 경향이 있기는 합니다.
암병원 의사들 (암오케이)
항암제의 가장 두려운 부작용이라면..
대표적으로 오심과 구토가 있습니다.
다행히 예전과는 달리 요즘은 효과적인 항구토제가 많이 개발이 되어 있어서
항암 당일 구토를 하는 경우는 많지 않습니다.
그러나 항암 후 2-3일이 지나서 나타나는 오심,
즉 울렁거리고 토할 것 같은 느낌은 아직 상당수의 환자 분들이 겪고 있어요.
한번 이런 부작용을 겪으면 다음에도 또 이럴까봐 걱정이 되시지요.
종종 이런 걱정 때문에 병원에 들어서기만 해도 토할 것 같은 느낌이 들기도 합니다.
오심과 구토는 시간이 갈수록 더 많이 나타나는 부작용은 아닙니다.
아래 그림은 아킨지오 (NEPA)라는 항구토제와 알록시 (PALO)라는 항구토제를 비교한 임상시험 결과인데요.
(출처: Cancer Med. 2019; 8: 2064– 2073. doi.org/10.1002/cam4.2091)
막대그래프 숫자는 항암 후 1-5일째 울렁거림이 없었던 환자의 비율을 의미한답니다.
점점 심해지는 부작용이라면 이 숫자가 항암을 여러 번 할수록 (오른쪽으로 갈수록) 줄어들겠죠.
하지만 그렇지는 않은 것을 볼 수 있습니다.
항구토제의 효과가 시간이 가도 유지가 된다는 것을 알 수 있지요.
항암제로 인한 오심, 구토는 약제의 특성에 따라 많이 달라집니다.
✔ 구토가 심한 약 (시스플라틴, 독소루비신+카보플라틴),
✔ 중간정도인 약 (옥살리플라틴, 이리노테칸 등),
✔ 구토가 심하지 않은 약 (5-FU, 파클리탁셀 등)으로 나눠지며,
대부분의 면역항암제나 표적항암제는 구토가 심하지 않은 약으로 분류됩니다.
그러나 오심 구토의 정도는 개인차가 많고, 한번 겪으면 심리적인 불안이 해지면서 더 심해지는 경향이 있기는 합니다.
증상이 심해지는 경우에는 담당 선생님과 상의하여 추가적인 구토억제제를 처방 받으세요.
2 weeks ago | [YT] | 2