1:47
1. Co to jest wielomian?
3:55
2. Jaki związek ma stopień wielomianu z ilością miejsc zerowych?
4:30
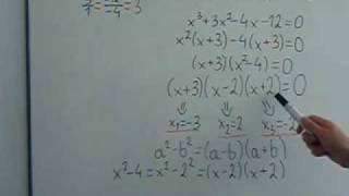
3 Jak wyznaczyć miejsca zerowe wielomianu? Co to jest rozkład wielomianu na czynniki?
2:17
4a Metody rozwiązywania równań wielomianowych
1:38
4b Metody rozwiązywania równań wielomianowych
3:12
4c Metody rozwiązywania równań wielomianowych
2:42
4c1 Dzielenie wielomianów - przykład
2:03
4d Metody rozwiązywania równań wielomianowych
2:14
4e Metody rozwiązywania równań wielomianowych
1:39
5. Rozkład wielomianu na czynniki
6:02
6 Rozwiązywanie nierówności wielomianowych, przykłady
2:11
7 Wykres wielomianu.
2:35
8. Wprowadzanie zmiennej pomocniczej w równaniu wielomianowym - przykład.