light
Invidious

0:24

Güne Paragraf ÇÖZEREK başlamalıyım! °ᝰ.ᐟ⋆📝.ೃ࿔*:・ [Calm Study Subliminal]

noir pearl 𖤐

Shared 1 month ago

40 views

13:07

YKS 'YE (TYT-AYT) AZ KALDI..! BUNDAN SONRA NASIL HIZLI NET ARTIRILIR.

MUAZZEZ HOCA

Shared 5 years ago

1.5K views

16:22

KPSS DE TARİHTEN 27 DE 27 YAPILABİLİR Mİ...???

MUAZZEZ HOCA

Shared 5 years ago

13K views

2:59

Dikkat ÖSYM Sorabilir!

İbrahim Kamar

Shared 1 month ago

1K views

2:52

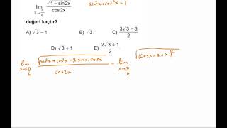
YKS MATEMATİK TAKTİKLERİ

ALFA MATH CLUB

Shared 4 years ago

283 views

Original source code / Modified source code Documentation
Released under the AGPLv3 on GitHub. View JavaScript license information. View privacy policy.
Services Forum Donate @ Tiekoetter.com Donate @ Invidious.io Current version: 2026.04.09-3fd49294 @ master
Contact: tinbox@tiekoetter.com