Готовься по физике к ЕГЭ и олимпиадам вместе с АВ💪
На этом канале выходит контент для подготовки к ЕГЭ и олимпиадам по физике.
Наши курсы👉 3.shkolkovo.online/ege/physics?utm_source=youtube
Физику для ОГЭ смотри тут👉youtube.com/channel/UCeKVcEOkoCUtNvUy2Pauq8g
Портал КНД: knd.gov.ru/license?id=6763f7d6506f9677283d61cd&…
Больше полезного и интересного у меня в ТГ и ВК, подписывайся👇
Физика с АВ из Школково | ЕГЭ, Олимпиады
Разбор и оформление №21 💥
1 year ago | [YT] | 42
View 0 replies
Физика с АВ из Школково | ЕГЭ, Олимпиады
Как подготовиться за оставшееся время к экзамену?
Смотри ролик!
1 year ago | [YT] | 2
View 0 replies
Физика с АВ из Школково | ЕГЭ, Олимпиады
Скучали по картинкам с оформлением? Ловите оформление 23 задачи!
1 year ago | [YT] | 35
View 3 replies
Физика с АВ из Школково | ЕГЭ, Олимпиады
Статика и гидростатика за 20 минут
Смотрим!
https://youtu.be/1egiWxwnV6Q
1 year ago | [YT] | 1
View 0 replies
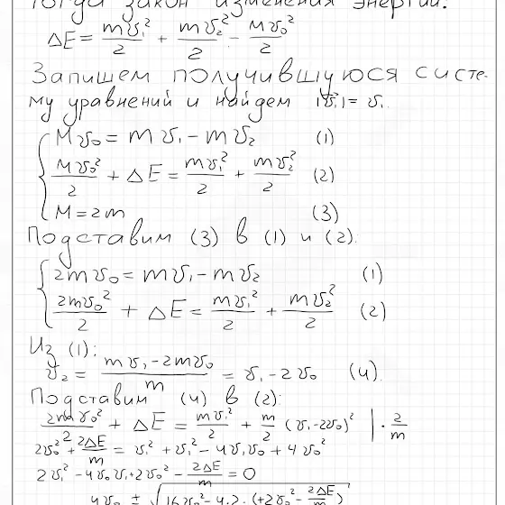
Физика с АВ из Школково | ЕГЭ, Олимпиады
Лови задачку и решение от эксперта 💥
Решай сам и смотри, как это сделал наш эксперт
Снаряд массой 4 кг, летящий со скоростью 400 м/с в полёте разрывается на две равные части, одна из которых продолжает движение по направлению движения снаряда, а другая – в противоположную сторону. В момент разрыва суммарная кинетическая энергия осколков увеличивается за счёт энергии взрыва на величину 0,5 МДж. Найдите модуль скорости осколка, движущегося по направлению движения снаряда
1 year ago | [YT] | 37
View 3 replies
Физика с АВ из Школково | ЕГЭ, Олимпиады
Остаётся всё меньше времени, а ты всё ещё не знаешь, с чего начать?
Смотри ролик и готовься к экзамену 💥
https://youtu.be/weT-HaojdkA
1 year ago | [YT] | 2
View 0 replies
Физика с АВ из Школково | ЕГЭ, Олимпиады
Можно ли набрать порог по физике за 5 минут?
Я решил это проверить и вот, что получилось
Смотри новый ролик!
https://youtu.be/fczohHYa2fQ
1 year ago | [YT] | 3
View 0 replies
Физика с АВ из Школково | ЕГЭ, Олимпиады
Друзья, на канале завтра будет разбор варианта №19 из сборника ЕГЭ 2024 по физике, не пропускайте!
youtube.com/live/k89CnQp04-M
1 year ago (edited) | [YT] | 9
View 0 replies
Физика с АВ из Школково | ЕГЭ, Олимпиады
Вспомним с вами теорию по статике
Ловите крутые картинки ⚡
1 year ago | [YT] | 40
View 0 replies
Физика с АВ из Школково | ЕГЭ, Олимпиады
Друзья, не пропускайте новый ролик на канале, там много полезного и интересного
https://youtu.be/juCzl975M4U
Файл с задачами по ссылке: t.me/AV_EGE/3083
1 year ago | [YT] | 1
View 0 replies
Load more